Introduction
Excess weight is a complex metabolic condition associated with metabolic dysfunction-associated fatty liver disease (MAFLD), cardiovascular events, cancer, and all-cause mortality, affecting about 2 billion people worldwide and resulting in a huge economic burden [1]. Inflammation is a key driver of disease development in individuals with excess weight [2, 3], but high-intensity exercise may reverse the metabolic damage caused by chronic inflammation [4]. Many professional expert associations consider lifestyle changes, such as increased exercise and diet restriction, to be the cornerstone of obesity management [5, 6]. Many studies have analyzed the relations between body mass index (BMI) and metabolic phenotype with disease devel-opment [7], as well as the changes in metabolic phenotypes over time [8]. Although the criteria for metabolic syndrome have been established, they are still evolving, resulting in a lack of specific guidelines, which makes clinical inter-vention somewhat difficult to initiate [9]. Few studies have focused on the use of specific metabolic markers, such as insulin resistance (IR) and inflammation, to stratify high-risk populations and initiate early interventions in individu-als with excess weight.
The triglyceride-glucose (TyG) index is a generally rec-ognized indicator of IR. When combined with BMI and waist circumference (WC), TyG and related indices have been shown to be predictive of the development of MAFLD [10, 11]. On the other hand, studies have reached inconsis-tent conclusions regarding the optimal index for predicting the risk of MAFLD or mortality [12, 13]. Given that inflam-mation plays an important role in obesity and metabolism,and is affected by exercise [14], we believe existing assess-ments do not take into account inflammation. The TyG index and hsCRP have been combined into a composite index for predicting the prognosis of patients with malignancies [15]. However, the application of this composite indicator in other populations remains unclear and the selection of inflamma-tory markers is still relatively limited in existing literature due to the absence of standardized calculation formulas.
Based on the previous exploration of the TyG index, we performed a combined analysis of TyG and hsCRP, com-paring the predictive ability with earlier indicators. Our indicators encompass more than just IR and inflammation, allowing for direct comparison with TyG-WC and TyG-BMI. Given that individuals who exercise regularly are more likely to maintain a healthy weight and improve their metabolism, receiving early clinical guidance could poten-tially enhance their health outcomes.
Methods
Research design and methods
The UK Biobank (UKB) is a large prospective database that collected detailed information of 502,507 participants recruited between 2006 and 2010 [13]. Each participant filled out questionnaires on demographic characteristics, lifestyle habits, health status, and finished related physi-cal examinations, blood biochemical testing. This study excluded participants who did not engage in regular physi-cal activity, had a BMI outside the range of 25–29.9 kg/ m2 [2], and who had been diagnosed with MAFLD prior to enrollment (regular physical activity: at least 150 min/week of moderate activity [50%-70% of the maximum heart rate after exercise], or 75 min/week of vigorous activity [70%- 85% of the maximum heart rate after exercise], or an equiv-alent combination. Maximum heart rate: 220 minus your age [in years] [11]). In addition, participants with missing key data were excluded. Finally, 72,262 participants were were included (Fig. S1).
Outcomes
The primary outcome of this study was MAFLD. By using the International Classification of Diseases, 10th revi-sion (ICD-10) and the Expert Panel Consensus Statement, MAFLD was defined as ICD-10 code K76.0 (fatty [change of] liver, not elsewhere classified) and K75.8 (other speci-fied inflammatory liver diseases). The secondary outcome was all-cause mortality. Death outcomes were identified through linkage to national death registries, and detailed death registration information can be found at link https://biobank.ndph.ox.ac.uk/~bbdatan/Death SummaryReport.html.
IR indices and covariates
Fasting plasma glucose (FPG) and triglyceride levels were analyzed using a Hitachi 7180 chemistry analyzer, and hs-CRP was detected by an immunoturbidimetric high-sensitivity assays on a Beckman Coulter AU5800. Height, weight, and WC were physically measured 3 times, and the average values were adopted. BMI was calculated as weight (in kilograms) divided by height (in meters) squared. TyG index was calculated as ln [triglycerides (mg/dl)×glucose (mg/dl)/2]. The TyG-hsCRP index was calculated as fol-lows: 0.412×ln (CRP) + TyG. The TyG-WC and TyG-BMI indices were calculated by multiplying TyG by WC or BMI [12].
Information on socio-demographic status and health-related factors was collected using a structured question-naire. Socio-demographic variables included age, sex (male/female), and race (white/non-white). Health-related lifestyle habits included smoking (never/former/current), drinking (never/former/current), insomnia (rarely/some-times/often) and cumulative dietary risk score ( a continu-ous variable, with a score ranging from 0 to 9) (Table S1) [11]. Relevant blood biochemical indicators included gly-cosylated hemoglobin (HbA1c), high-density lipoprotein cholesterol (HDL-C), low-density lipoprotein cholesterol (LDL-C), total cholesterol, creatinine, urea, alanine ami-notransferase (ALT), aspartate aminotransferase (AST), and total bilirubin. The quality check procedure for blood samples is available at https://biobank.ndph.ox.ac.uk/showc ase/showcase/docs/biomarker_issues.pdf.
Statistical analysis
The exposure variables TyG-hsCRP, TyG-WC, TyG-BMI, and TyG were divided into quartiles from lowest (Q1) to highest (Q4). The risk calculation was based on Q1, includ-ing hazard ratio (HR), 95% confidence interval (CI) and corresponding p-value. Mean interpolation was used in missing continuous variables, and missing categorical vari-ables were excluded. Continuous variables were expressed as mean and standard deviation (SD), and categorical vari-ables were expressed by frequency and proportion. The trend test was performed using the interval median value. The t test (continuous variable) or chi-square test (categori-cal variable) were used to assess the differences between subjects grouped by quartiles. Characteristics of participants were compared based on MAFLD. Variables between the 2 groups with a p value < 0.05 were included in subsequent multivariate adjustment models. We made a proportional hazards assumption for the Cox model, and no violations were detected (Fig. S2). In the analysis of TyG correlation index and outcomes, the models were as follows. Model 1 was unadjusted; Model 2 was par-tially adjusted; Model 3 was fully adjusted. Dose-response relations between TyG-hsCRP and outcomes were evalu-ated by restricted cubic splines (RCS) regression analysis. Cox proportional hazards models were employed to assess HRs and 95% CIs of TyG correlation index with outcomes. In order to weigh the advantages and disadvantages of each indicator, we calculated the time-dependent Harrell’s C-indices of TyG-hsCRP, TyG-WC, TyG-BMI, and TyG, and we selected the index with the highest predictive power for outcomes and conducted a subsequent primary analysis. In addition, we performed subgroup analyses based on age or sex to further compare C-indices [12]. The interaction of age, sex, ethnicity, smoking, drinking, and sleep in TyG-hsCRP with outcomes was analyzed using additive product terms in the Cox models. The Kaplan-Meier method was used to develop survival curves, and differences in survival were evaluated with a stratified log-rank test and a multi-variable Cox proportional-hazards model. To minimize errors in population selection, statistical methods, and vari-able inclusion, we conducted a comprehensive sensitivity analysis. Statistical analyses was performed using R studio software, version 4.3.2 and p values < 0.05 were consideredto indicate statistical significance.
Results
Baseline characteristics of participants
The mean age of the 72,262 participants included was 56±8.2 years, with 58% being male. Participants were divided into non-MAFLD and MAFLD, and this was used as a baseline analysis to identify differential variables (p<0.05). Table 1 showed baseline characteristics, and results revealed that participants who developed MAFLD were more likely to be older and have higher BMI, WC, fasting blood glucose, HbA1c, hsCRP, triglycerides, ALT, AST, and total bilirubin (Table 1).
RCS analysis
The RCS analysis showed a nonlinear positive associa-tion between TyG-hsCRP and the future risk of all-cause mortality (p for nonlinear<0.05). The turning points for TyG-hsCRP in MAFLD and all-cause mortality were 1.16 and 2.91, respectively. Similarly, results revealed a nonlin-ear relationship between TyG-WC and all-cause mortality, TyG-BMI and MAFLD, TyG and MAFLD (Fig. 1).
Relationship between TyG-hsCRP, TyG-WC, TyG-BMI, and TyG with MAFLD, and all-cause mortality
During the median follow-up period 12.7 years, 1,477 par-ticipants (2.0%) had new-onset MAFLD and 4,100 (5.7%) died (all cause).
Regarding TyG-hsCRP and MAFLD, in Model 3, the HRs for Q2-4 were 1.31 (1.10–1.56), 1.51 (1.27–1.80), and 1.94 (1.62–2.32), respectively (p for trend<0.0001) (Table 2). In model 1, the risk of develop ing MAFLD increased 40% for each SD increase of TyG-hsCRP (HR=1.40, 95% CI: 1.34–1.47). Regarding TyG-hsCRP and all-cause mortality, in Model 3, the HRs for Q2-4 were 1.06 (0.96–1.17), 1.11 (1.01–1.22), and 1.46 (1.32–1.62), respectively (p for trend<0.0001) (Table 2). In model 1, all-cause mortality increased by 32% for each SD increase of TyG-hsCRP (HR=1.32, 95% CI: 1.28–1.36).
Similar analyses were conducted on the relations between TyG-WC, TyG-BMI, and TyG (Table 2). The results showed in Model 3 TyG-BMI and TyG had no statistically signifi-cant association with all-cause mortality (p for trend 0.91 and 0.07, respectively).
Predictive ability comparison
We calculated the time-dependent Harrell’s C-indices, and the results indicated for MAFLD, TyG-hsCRP exhib-ited the strongest predictive ability, followed by TyG-WC, TyG-BMI, and TyG. In terms of new-onset mortality, TyG-hsCRP again presented the strongest predictive power, while the predictive abilities of TyG-WC, TyG-BMI, and TyG showed no significant differences (Fig. 2). The pre-dictive power in gender subgroups and age subgroups was also compared. The results indicated, with the exception of MAFLD events in individuals over 60 years, where TyG-WC showed superior predictive ability, TyG-hsCRP consis-tently outperformed in other subgroups (Fig. S3-4).

Kaplan-Meier analysis
The Kaplan-meier curves showed participants with higher TyG-hsCRP levels were more likely to develop MAFLD and all-cause mortality than those with lower TyG-hsCRP levels (log rank test p<0.05). Analyses of TyG-WC, TyG-BMI, and TyG produced similar results (Fig. 3).
Interaction and subgroup analysis, and sensitivity analysis
The results showed age and drinking had interactions with MAFLD. Age and race had interactions with all-cause mor-tality. Subgroup analyses indicated people aged 20–60 years were more likely to develop MAFLD or all-cause mortality (Fig. S5).
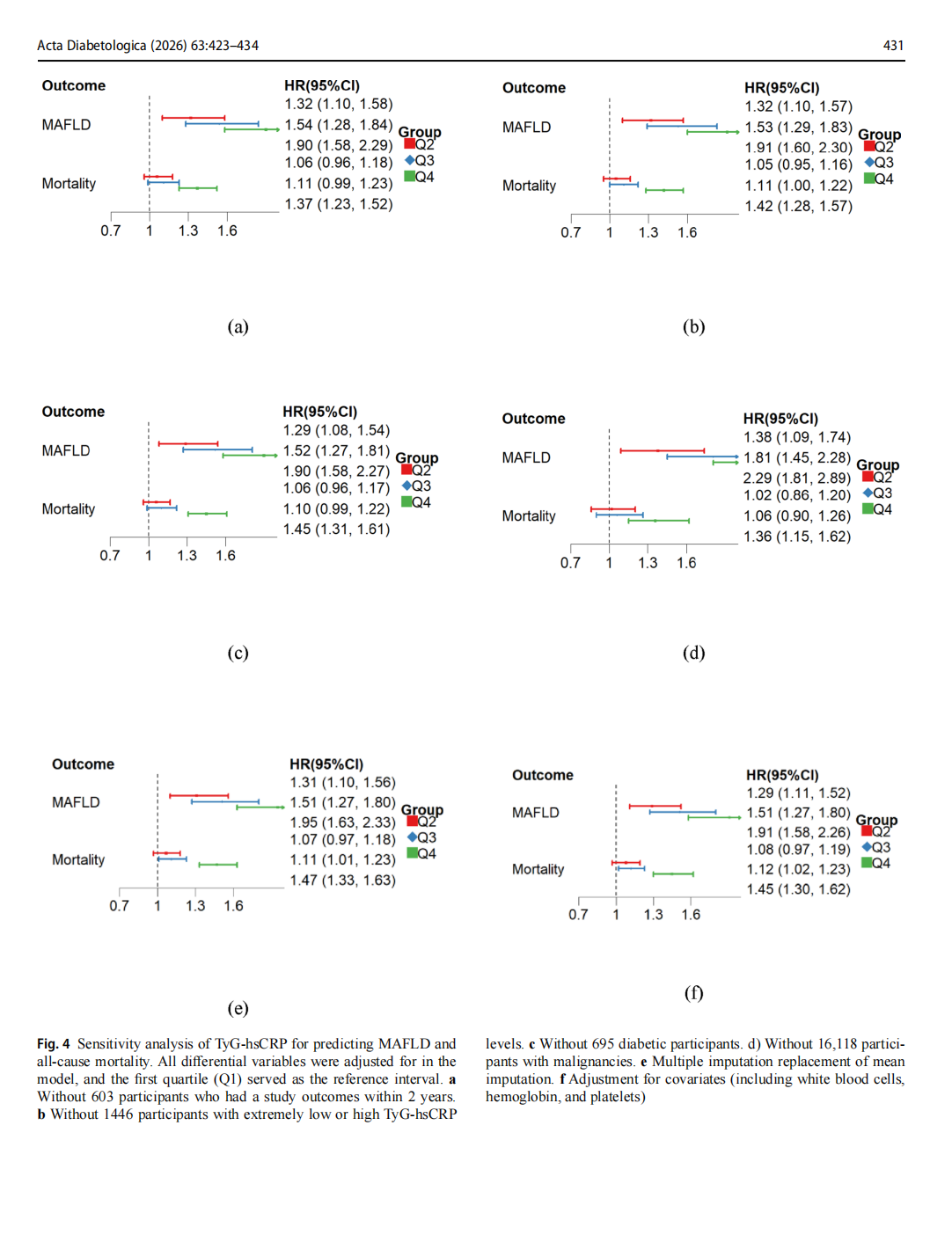
To ensure the robustness of the results, we first excluded 603 participants who experienced an outcome event within 2 years of follow-up. Secondly, we deleted 1,446 cases with the maximum (>99%) or minimum (<1%) values of TyG-hsCRP. Thirdly, we excluded 695 people who had




diabetes at enrollment to eliminate the potential effect of IR. Fourthly, 16,118 participants with tumors were excluded. Furthermore, we employed multiple imputation instead of mean imputation. Finally, we made adjustments to the selec-tion of covariates (Fig. 4). The results showed the model remained robust.
Discussion
In this prospective cohort study, we explored the associa tions of TyG correlation indexes with new-onset MAFLD, all-cause death and compared their time-dependent predic-tive power in the overall population, and in sex and age subgroups. Overall, the TyG-hsCRP index, rather than TyG-BMI, TyG-WC or TyG, had the highest predictive power, which suggested that metabolic indicators, rather than phys-ical measurement indices, may warrant greater attention. The findings highlight the potential impact of inflammatory factors in the development of the disease, providing evi-dence for anti-inflammatory therapy. In addition, the effect value was more significant in the young group between 20 and 60 years old. This suggests that we should pay more attention to the young group and implement high-inten-sity exercise training and clinical intervention, in order to achieve inflammation reversal and improve outcomes. Obesity has greatly increased the medical burden due to associated long-term systemic metabolic disorders, which contributes to a high incidence of various diseases [16]. Excess weight can lead to low-grade chronic inflamma-tion, IR, liver metabolic disorders, β cell damage, which increases the occurrence of MAFLD, cardiovascular events, and all-cause death [17]. Fortunately, exercise is a lifestyle habit that can effectively reduce the level of inflammation in the body [18], thus offering an opportunity to reverse inflammation and improve health outcomes. Studies have
shown that inflammation is an important part in people with excess weight, and macrophages mediate the increase of systemic circulating inflammatory factors, such as CRP, interleukin (IL)-6, and tumor necrosis factor (TNF)-α [19]. Adipose tissue is also an important source of circulating inflammatory factors, with visceral adipose tissue contrib-uting more than subcutaneous fat. Additionally, several studies have evaluated the predictive role of BMI and WC in people with excess weight [20, 21]. Systemic circulat-ing inflammatory factors regulate adhesion molecules and chemokines in vivo, prompting the infiltration of lympho-cytes into liver tissues during homing activities, which con-tributes to the development of metabolically related fatty liver [19]. In addition, excess weight causes an imbalance in the regulation of immune cells in the body’s adipose tis-sue. The increased presence of inflammatory immune cells in adipose tissue elevates systemic inflammation, resulting in complications such as IR, hyperglycemia, dyslipidemia, cardiometabolic diseases and metabolic syndrome [22, 23]. Although various inflammatory indicators have been found to be associated with MAFLD in previous studies [17, 19], research integrating TyG and inflammatory markers through calculation has been relatively scarce [15]. This has, to some extent, hindered our ability to explore and compare differ-ent inflammatory markers. However, we have expanded our focus from physical measurement indicators to metabolic
factors, representing a significant breakthrough. This sug-gests that there is still considerable potential in the study of inflammation and insulin resistance.
TyG is recognized as an indicator of IR, and a series of compound indicators have been derived. Studies have found that TyG can be used to predict type 2 diabetes, metabolic syndrome, cardiovascular events [24]. However, few studies have examined both TyG and inflammation, with the earli-est attempts focusing on cancer patients and involving only hsCRP [15]. Studies have shown that the composition and distribution of body fat is closely related to IR. Dysfunc-tional obese adipose tissue develops into insulin resistance and chronic low-grade systemic inflammation through lipo-toxicity [25]. Yang investigated TyG was an effective com-prehensive indicator for predicting fat volume, density and distribution, and it was an important predictor of visceral obesity when combined with BMI [26]. Given the correla-tion between IR and obesity, studies have begun to explore whether combining the TyG index with obesity-related indi-ces can enhance risk stratification. Due to differences in dis-ease outcomes, database selection and study design, there is controversy over the merits of TyG and related indices. Ke found combining TyG index with BMI and WC did not further improve identification of diabetes risk in the elderly population [27]. Li suggested TyG-BMI outperformed TyG in predicting new-onset diabetes [28]. Zhang found that TyG combined with obesity indices were superior for identifying metabolic syndrome in males and females [29]. However, it is evident that previous studies have primarily focused on the connection between IR and indicators of obesity risk. In contrast, our research broadens the scope by incorporating metabolic indicators and conducts a comprehensive com-parison with existing measures.
Few studies have integrated the TyG index and hs-CRP using standardized formulas, and existing results of the combination of body measurements such as WC and BMI are inconsistent, thus we conducted the study. Individuals with excess weight are at risk of metabolic-related dis-eases. However, regular exercise brings the possibility of reversing chronic inflammation, and people who exercise regularly often have greater treatment adherence and bet-ter clinical intervention outcomes [4, 30]. Our study found, compared with traditional TyG-WC, TyG-BMI, and TyG, TyG-hsCRP had a better risk stratification effect. These results again provide evidence for anti-inflammatory ther-apy, and are consistent with recommendations of new clini-cal anti-inflammatory treatments [14, 15]. Of course, there are numerous inflammatory indicators, and their relation-ships with diseases are complex [17, 19]. We believe other potential inflammatory markers may also offer clinical pre-dictive value. By integrating IR with various inflammatory indicators and conducting comparative analyses within the same category, the research will become more comprehen-sive, which is the direction we intend to pursue. It is worth mentioning that the predictive value of TyG-WC is better than that of TyG in our study, indicating that the TyG index solely is far from satisfying the need to reflect the metabolic situation of the body.
There is no unified explanation for the difference between TyG-hsCRP and other metabolic indices. However, there are possible reasons. Firstly, the inflammatory response mediated by macrophages and fat cells stimulates the stress response of various systems in people with obesity, lead-ing to new biochemical reaction based on the existing metabolism. Therefore, the comprehensive consideration of inflammation and IR offers a more accurate reflection of the body’s metabolic status [20]. Secondly, the TyG index itself is an indicator of the distribution and content of fat, while body measurement indicators still reflect body fat. There-fore, evaluation of a single dimension may not superimpose its evaluation effect [29]. Finally, the average age of the participants was around 56 years old, and metabolic condi-tions may have a greater effect than physical measures for middle-aged and elderly people.
One advantage of our study is that it is the first study to focus on individuals with excess weight who engage in regular physical activity, and we utilized a composite indicator of IR and inflammation to predict outcomes. Our sensitivity analysis is comprehensive and the comparative test of the predictive power is sufficient. But the study has some limitations. First, the data were mainly collected by questionnaires, including assessments of exercise type and recollections of exercise duration, which may introduce inaccuracies in the crowd selection. Secondly, due to the lag in imaging data, relying solely on ICD-10 codes for diag-nosing MAFLD may result in the omission of positive cases during the follow-up period. Therefore, the interpretation of the absolute effect estimate should be approached with caution. In addition, the population is predominantly white, and a more robust analysis may require data from multiple regions and ethnicities.
Conclusions
The TyG-hsCRP index can effectively predict the risk of MAFLD and all-cause mortality in physically active indi-viduals with excess weight. This could help physicians with exercise guidance or clinical interventions.
Supplementary Information The online version contains supplementary material available at https://doi.org/10.1007/s00592-0 25-02596-y.
Acknowledgements The authors thank all patients who participated in the study
Author contributions Xiaoyan Wang was responsible for the project design, data analysis, paper writing and part of the data collection. Run Yang was responsible for subject modification and the majority of the data collection. Jingxiang Li was responsible for data management and formal survey. Yongqi Liang, Chenxi Jin and Yining Xu were respon-sible for part of the data analysis and data collection. Xianbo Wu was responsible for overall data management and supervision. Mengchen Zou was responsible for financial support and project guidance.
Funding This work was supported by National Natural Science Foun-dation of China: No.82170840 to Mengchen Zou.
Data availability The data that support the findings of this study are available from the corresponding author upon reasonable request.
Declarations
Conflict of interest The authors declare that they have no competing
Ethical approval This study was designed and implemented in ac-cordance with the Declaration of Helsinki (2013). The UKB was ap-proved by the Northwest Multi-Center Research Ethics Committee and all participants provided written informed consent.
Consent for publication Not applicable.
Guarantors Mengchen Zou is the guarantor of this work and, as such, had full access to all the data in the study and takes responsibility for the integrity of the data and the accuracy of the data analysis.
Open Access This article is licensed under a Creative Commons Attribution 4.0 International License, which permits use, sharing, adaptation, distribution and reproduction in any medium or format, as long as you give appropriate credit to the original author(s) and the source, provide a link to the Creative Commons licence, and indicate if changes were made. The images or other third party material in this article are included in the article’s Creative Commons licence, unless indicated otherwise in a credit line to the material. If material is not included in the article’s Creative Commons licence and your intended use is not permitted by statutory regulation or exceeds the permitted use, you will need to obtain permission directly from the copyright holder. To view a copy of this licence, visit http://creativecommons.o rg/licenses/by/4.0/.



This article is excerpted from the 《Acta Diabetologica》 by Wound World.
